学科资源 第70页
七年级上语文期末卷02-副业资源网

七年级上语文期末卷02

------预览已结束,还剩18页未读------您已获得此文档下载权限,请点击底部下载完整文档
项目发布员的头像-副业资源网赞助会员项目发布员2个月前
0187
五年级上数学第五单元测试卷《青岛63版》-副业资源网

五年级上数学第五单元测试卷《青岛63版》

------预览已结束,还剩2页未读------您已获得此文档下载权限,请点击底部下载完整文档
项目发布员的头像-副业资源网赞助会员项目发布员2个月前
01010
四上语文1-8单元高频考点总结单(十二个考点归纳)22页-副业资源网

四上语文1-8单元高频考点总结单(十二个考点归纳)22页

------预览已结束,还剩20页未读------您已获得此文档下载权限,请点击底部下载完整文档
项目发布员的头像-副业资源网赞助会员项目发布员2个月前
0945
25秋一上数学九大专项练习期末复习(75页)-副业资源网

25秋一上数学九大专项练习期末复习(75页)

------预览已结束,还剩73页未读------您已获得此文档下载权限,请点击底部下载完整文档
项目发布员的头像-副业资源网赞助会员项目发布员2个月前
0186
七年级上语文全册(古诗词鉴赏)-副业资源网

七年级上语文全册(古诗词鉴赏)

------预览已结束,还剩5页未读------您已获得此文档下载权限,请点击底部下载完整文档
项目发布员的头像-副业资源网赞助会员项目发布员2个月前
01110
四年级上数学第六单元测试卷3《冀教版》-副业资源网

四年级上数学第六单元测试卷3《冀教版》

------预览已结束,还剩3页未读------您已获得此文档下载权限,请点击底部下载完整文档
项目发布员的头像-副业资源网赞助会员项目发布员2个月前
06821
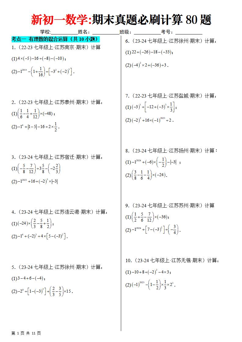
七年级上数学期末真题必刷计算80题(苏科版)-副业资源网

七年级上数学期末真题必刷计算80题(苏科版)

------预览已结束,还剩66页未读------您已获得此文档下载权限,请点击底部下载完整文档
项目发布员的头像-副业资源网赞助会员项目发布员2个月前
03413
四年级上数学第六单元测试卷2《冀教版》-副业资源网

四年级上数学第六单元测试卷2《冀教版》

------预览已结束,还剩3页未读------您已获得此文档下载权限,请点击底部下载完整文档
项目发布员的头像-副业资源网赞助会员项目发布员2个月前
0641
四年级上数学第七单元拔尖测试卷《西师版》-副业资源网

四年级上数学第七单元拔尖测试卷《西师版》

------预览已结束,还剩2页未读------您已获得此文档下载权限,请点击底部下载完整文档
项目发布员的头像-副业资源网赞助会员项目发布员2个月前
0121
四年级上数学第七单元测试卷《北师版》-副业资源网

四年级上数学第七单元测试卷《北师版》

------预览已结束,还剩3页未读------您已获得此文档下载权限,请点击底部下载完整文档
项目发布员的头像-副业资源网赞助会员项目发布员2个月前
03525
四年级上册语文期末复习重点知识点(必背)16页-副业资源网

四年级上册语文期末复习重点知识点(必背)16页

------预览已结束,还剩14页未读------您已获得此文档下载权限,请点击底部下载完整文档
项目发布员的头像-副业资源网赞助会员项目发布员2个月前
04011
25秋四上数学期末押题模拟测试卷五套(苏教版含答案25页)-副业资源网

25秋四上数学期末押题模拟测试卷五套(苏教版含答案25页)

------预览已结束,还剩25页未读------您已获得此文档下载权限,请点击底部下载完整文档
项目发布员的头像-副业资源网赞助会员项目发布员2个月前
06317
六年级上数学期末拔尖测试卷1《冀教版》-副业资源网

六年级上数学期末拔尖测试卷1《冀教版》

------预览已结束,还剩3页未读------您已获得此文档下载权限,请点击底部下载完整文档
项目发布员的头像-副业资源网赞助会员项目发布员34天前
06123
六年级上数学期末拔尖测试卷3《沪教版》-副业资源网

六年级上数学期末拔尖测试卷3《沪教版》

------预览已结束,还剩5页未读------您已获得此文档下载权限,请点击底部下载完整文档
项目发布员的头像-副业资源网赞助会员项目发布员31天前
07626
五上语文期末·情境古诗词日积月累课内理解专项-副业资源网

五上语文期末·情境古诗词日积月累课内理解专项

------预览已结束,还剩18页未读------您已获得此文档下载权限,请点击底部下载完整文档
项目发布员的头像-副业资源网赞助会员项目发布员29天前
04527
一年级上语文期末重点内容梳理-副业资源网

一年级上语文期末重点内容梳理

------预览已结束,还剩9页未读------您已获得此文档下载权限,请点击底部下载完整文档
项目发布员的头像-副业资源网赞助会员项目发布员26天前
05329
六上语文全册重点课文内容填空-副业资源网

六上语文全册重点课文内容填空

------预览已结束,还剩21页未读------您已获得此文档下载权限,请点击底部下载完整文档
项目发布员的头像-副业资源网赞助会员项目发布员25天前
04229
二年级上数学期末模拟测试卷9《人教版》-副业资源网

二年级上数学期末模拟测试卷9《人教版》

------预览已结束,还剩3页未读------您已获得此文档下载权限,请点击底部下载完整文档
项目发布员的头像-副业资源网赞助会员项目发布员22天前
0967
五年级上数学《小数除法》重难点整理和复习-副业资源网

五年级上数学《小数除法》重难点整理和复习

------预览已结束,还剩16页未读------您已获得此文档下载权限,请点击底部下载完整文档
项目发布员的头像-副业资源网赞助会员项目发布员21天前
0885
二年级上数学期末质量检测卷3《沪教版》-副业资源网

二年级上数学期末质量检测卷3《沪教版》

------预览已结束,还剩3页未读------您已获得此文档下载权限,请点击底部下载完整文档
项目发布员的头像-副业资源网赞助会员项目发布员19天前
06722